Puente de guitarra clasica

Re: Puente de guitarra clásica

Hola javier 777:
Complicado tema el que propones. Y yo te lo voy a complicar un poco mas ya que una de las guitarras que tengo lleva el sistema " violin " en que las cuerdas no tiran del puente ya que éste solo les sirve de punto de apoyo, ya que tiran del violín y por tanto podriamos decir que la fuerza la ejercen en parte en la parte baja de la tapa y en el fondo o parte curvada inferior de la guitarra. Por lo tanto en el puente podriamos decír que solo se apoyan y por tanto todo el sistema defuerzas cambia. Y suena igual o mejor que las normales. Podriamos decir que este sistema complica un poco la teoria de que el sonido se produce en parte por las fuerzas que tiran del puente levantando la tapa.
No quiero alargarme sobre este tema del que ya se ha hablado en este foro por compañeros mas entendidos y nunca nadie me ha dado una explicación del porque si tirando del puente o solo apoyando la guitarra suena.
Tambien me ha extrañado muchísimo que habiendo sido España el país de la guitarra Española no se haya hecho en alguna de las muchas universidades algunos estudios referidos a este instrumento, y que yo conozca, ya que a lo mejor hay hechos.
Los que creo que han trabajado para mejorar todo lo concerniente a la guitarra son la cantidad de luthiers o guitarreros que siempre han trabajado o investigado para hacer mejores guitarras. Un saludo, jonyguitar, Josep Mercader
 
Re: Puente de guitarra clásica

Actualmente estoy construyendo mi segunda guitarra y quiero hacerle algunas innovaciones. He estado investigando en la red sobre el tema del puente y estoy de acuerdo en que el puente de la guitarra moderna es una parte sumamente esencial de la misma. Sin entrar a analizar otros aspectos como el timbre y demas que dependen de la construccionn de la tapa armonica, su varetaje y el cuerpo de la guitarra en general, quiero ubicarme en la trasmision del sonido a la tapa armonica. Es sabido que las cuerdas de la guitarra realizan una fuerza de traccion sobre el puente y que esta fuerza de traccion es la responsable del sonido de la guitarra. La fuerza de traccion, dada la direccion en que es aplicada, por si sola creo que no generaria un sonido apreciable. Es necesario convertir esta fuerza de traccion en otra fuerza capaz de exitar la tapa de forma apreciable, para que esta pueda generar sonido. Este mecanismo es el puente de la guitarra, el cual tiene un movimiento de cabeceo (explicado por Somogyi ) sumamente importante. Este movimiento genera, si hacemos un simple analisis vectorial, una fuerza resultante que es aplicada sobre la tapa a travez de la selleta. Esta fuerza resultante no esta aplicada en sentido vertical a la tapa, sino en cierto angulo. A la vez, al pulsar, las cuerdas de los bajos se produce, ademas del movimiento de cabeceo, un movimiento de las alas del puente, cuando una sube la otra baja. El ala del puente en la parte de los bajos se mueve con mas amplitud que en la parte de los agudos y esto genera un movimiento de balanceo del puente. Bueno, creo que es sufuciente de momento, si alguien encuentra esto de interes me pueden responder y continuaremos con este analisis del puente.
 
Re: Puente de guitarra clásica

Hola Arturojose y Jonygutar, encantado de hablar con vosotros.
Bueno, yo lo único que pretendía en la intervención anterior era describir, de acuerdo con los principios de la ciencia física llamada Mecánica, las fuerzas que intervienen en un puente de guitarra clásica cuando se tensan las cuerdas, y como se descomponen.
Desde luego no es una cuestión personal mía, y no se si lo habré conseguido.
En cuanto a mis preguntas finales, las dejé ahí pues no quería extenderme mas ya que el asunto es puede ser interminable.
Ahora trataré de explicarme un poco mejor lo que quería decir:
Cuando se tensan las cuerdas, se produce una tracción (de unos 40 kilos para las cuerdas de tipo clásico si no recuerdo mal) nada despreciable.
Esta fuerza se aplica al puente y este la transmite a la tapa de acuerdo con la descripción anterior sobre la que no merece la pena insistir.
El puente requiere una superficie mínima para que no se despegue, y la tapa una estructura de refuerzo adecuada para que no se deforme apreciablemente y, al mismo tiempo pueda vibrar.
La estructura tapa/puente tiene que contrarrestar esa fuerza inicial y así se alcanza una posición de equilibrio (pues todavía no hay ningún movimiento).
Cuando se pulsa una cuerda, esta oscila. La oscilación se aplica al puente, que a su veza la transmite a la tapa, y esta última vibrará en torno a lo que hemos llamado posición de equilibrio inicial y amplifica el sonido.
Ahora bien, existen otras posibilidades constructivas que permiten trasladar parte de la tensión a otras zonas de la guitarra que resisten mejor estructuralmente y que permitirían a la tapa partir de una posición de equilibrio inicial, digamos menos "tensionada".
Esto permitiría quizás disminuir la superficie del puente y aligerar la estructura de refuerzo permitiendo a la tapa vibrar mas libremente.
(Una de las posibilidades es la que tu mencionas Jonyguitar. No es la única. Y desde luego no estoy en contra de ella, pero me gustaría conocer algún detalle mas que luego te comento).
Bien, cuando esas posibilidades existen, son conocidas, pero prácticamente no se aplican a la guitarra clásica, me pregunto porqué.
Desde mi punto de vista, una guitarra podría ser mas resistente usando otras alternativas distintas a la del puente clásico encolado con las cuerdas amarradas a el, pero no se como se comportaría musicalmente hablando. De ahí mis preguntas.
No se si mi explicación anterior te ha aclarado algo lo que me preguntaba en la intervención anterior Arturojose. Me alegraría que así fuera.
En cuanto a los puentes tipo violín (he visto en este foro que los profesionales les llaman puentes de presión), me gustaría saber Jonyguitar si la guitarra que mencionas es de tapa plana y cuerdas de nylon.
Yo mismo tengo varias guitarras con ese tipo de puente, pero son de tapa abombada y cuerdas metálicas (guitarras de jazz de caja). Su construcción, en principio, no tiene nada que ver con las llamadas guitarras españolas o guitarras clásicas.
Pero no cabe duda que es una posibilidad que también hay que tener en cuenta.
Un saludo.
 
Esto, que es muy interesante, me suena a que nadie había descubierto las propiedades físicas, y de termodinámica de los botijos.Por fin en 2004(no lo recuerdo bien) un señor o señores lograron descifrar matemáticamente como un botijo funcionaba, le daba el sol y enfría el agua. Matemáticamente ya lo sabemos, ahora bien se ha cambiado la alta tecnología usada en la construcción de un botijo, o los materiales con los que se construye? NO. Pues esto mismo digo yo:
Principios básicos que no parece que se tengan en cuenta(solo se habla de las fuerzas lógicas, que físicamente, y matemáticamente ya sabemos, y están demostradas) La vibración de un elemento flexible entre dos nodos crea unas frecuencias sonoras(principio básico de un instrumento de cuerda). Bueno cuanto mas vibre una guitarra(solo se puede ver en su conjunto, creo yo)más frecuencias y armónicos reproducirá, para mi esto es lo que hay que tener en cuenta y actuar sobre los distintos elementos.
Habré dicho alguna barbaridad pero el principio básico del sonido no hay que olvidarlo(algo mueve el aire y crea las ondas sonoras)
 
Hola javier777:
Para aclarar lo que me preguntas te diré que la guitarra con violín es de tapa plana y muy delgada de madera Sinker, esa que sacaron de los rios de Sudamérica y ahora de Alaska y ha estado cientos de años sumergida y empapada con el lodo del río que ha tapado sus poros. Además debajo lleva una malla de fibra de carbono para reforzar. Además con la doble tapa tipo Contreras se consigue gran sonido y duración. El que la construyó las hace con estas maderas, Abeto y Cedro. Yo hace mas de 50 años ya tuve una Hoffman acústica con violín.http://www.flickr.com/photos/71371239@N05/sets/72157628276352877/ La convertí en eléctrica y fué una o la primera ya que tuvieron que traer las pastillas de Norteamérica. Saludos, jonyguitar
 
En este hilo se ha hablado y conjeturado mucho sobre las fuerzas que ejerce la cuerda en el puente, pero no he visto ninguna intervención que trata del comportamiento de la misma cuerda vibrante.

Lamentablemente, los dos luthiers americanos Siminoff y Somogyi quienes han tenido el honor de ser citados varias veces en este hilo, tampoco han tocado este tema en ninguna de sus numerosas publicaciones.

En seguida intentaré llenar este vacío en nuestro foro.

Por un lado trataré de explicar lo que ha investigado acerca de este tema Trevor Gore, constructor de guitarras artesanales en Sidney (Australia), quien ha ido por el camino analítico aplicando sus conocimientos amplios en física, geometría y álgebra y basándose entre otras fuentes en los trabajos de Fletcher/Rossing (The Physics of Musical Instruments, 1988). Las explicaciones que daré contendrán una buena cantidad de matemática, conteniendo no solamente cosas relativamente sencillas sino también ecuaciones diferenciales y ecuaciones integrales que son imprescindibles para la evaluación cuantitativa de las fuerzas que actúan en puente y tapa armónica. En todo caso intentaré que se pueda entender mis explicaciones también sin tener que seguir y entender todos los detalles del desarrollo matemático. El único inconveniente en no poder seguir en toda la matemática involucrada es este de quedarse con tener que creer en la validez de los resultados.

Por otro lado os indicaré un trabajo de Alan Carruth, luthier en Newport NH (USA) en cual están presentando los resultados de sus mediciones de las fuerzas transversales y longitudinales que ejerce la cuerda pulsada vibrante en el puente de guitarra.

(Continuará)
 
Yendo desde la observación de lo sencillo hacia observaciones más complejas me permito empezar con una soga floja de aproximadamente 3 metros, extendida en el suelo. Moviendo un extremo de la soga rápidamente hacia arriba y abajo podemos observar como se desplaza una onda hacia el otro extremo:


Imagen 1
attachment.php


Acercándonos un poco más a lo que es una cuerda de guitarra podríamos ahora atar la soga en una pared, y observar como la onda esta reflejada en su anclaje y está retornando:

Imagen 2
attachment.php


Aunque, para este experimento la soga que ahora debe estar bajo tensión debería ser mucho más larga para ver a ojo desnudo su movimiento en todos los detalles.

En otro contexto (problema de trasteo de cuerdas), Julio Gimeno nos ha presentado estos dibujos que aparecen en el libro Tone Production on the Classical Guitar

Imagen 3
attachment.php

Fuente: TAYLOR, John: Tone Production on the Classical Guitar (Londres: Musical New Services, 1978: 44)


Aquí os incluyo una animación de este fenómeno:


Imagen 4
Wave_equation_1D_fixed_endpoints.gif

Fuente: Wikipedia.org


(Continuará)
 

Archivos adjuntos

  • 1b-s.jpg
    1b-s.jpg
    25,1 KB · Visitas: 234
  • 1a-s.jpg
    1a-s.jpg
    15,1 KB · Visitas: 233
Nuevamente simplificando las cosas, vamos a mirar en el próximo paso el caso especial en cual se pulsa la cuerda en su centro, y en cual la cuerda sea una "cuerda ideal", es decir una cuerda sin rigidez de flexión y sin fricción interna. Más adelante vamos a refinar el modelo, considerando algunas propiedades físicas de las cuerdas en la vida real.

El siguiente vídeo a cámara lenta enseña la primera mitad de un periodo de oscilación de una cuerda "casi ideal" de goma elástica.

Si nos concentramos en la observación de los dos extremos de la cuerda podemos ver que el ángulo no cambia hasta la cuerda está recta, y luego se establece inmediatamente el mísmo ángulo pero esta vez "hacia abajo", y queda nuevamente constante:


La "forma de techo" que se vuelve más y más plano durante el primer cuarto de un ciclo (o periodo) entero se compone de dos "picos" (verde y rojo) que se mueven hacia los extremos, ("picos" como lo hemos visto en el mensaje anterior en el dibujo simplificado de Taylor)


Imagen 5
attachment.php


(Continuará)
 

Archivos adjuntos

  • 2s.jpg
    2s.jpg
    95,2 KB · Visitas: 227
Con los conocimientos que hemos obtenido de las observaciones anteriores ya podemos establecer un modelo que permite calcular las fuerzas que ejerce nuestra cuerda ideal en sus puntos de anclaje si la pulsamos en su centro:

Imagen 6
attachment.php


La cuerda tensada entre sus dos anclajes A y C va pulsada desplazando su centro D con la fuerza Q por la distancia y, hasta B.


La fuerza transversal Fy (perpendicular a la cuerda en reposo) y la fuerza longitudinal Fx se puede expresar como
Fy = T sin[FONT=Times New Roman, serif]α[/FONT]
Fx = T cos[FONT=Times New Roman, serif]α[/FONT]​

donde T es la tensión total de la cuerda en el momento de soltarla: T = Ti + [FONT=Times New Roman, serif]Δ[/FONT]T, Ti siendo la tensión inicial de la cuerda en reposo, y [FONT=Times New Roman, serif]Δ[/FONT]T siendo el incremento de tensión causado por estirar la cuerda de una longitud de L = AC a una de AB + BC (o en este caso especial en cual pulsamos la cuerda en el centro también podemos hablar de estirar la mitad de la cuerda de una longitud de AD a una de AB).

El aumento de tensión es
[FONT=Times New Roman, serif]Δ[/FONT]T = K [FONT=Times New Roman, serif]ΔL[/FONT]​

con K = E * A / L, donde E es el módulo de elasticidad de la cuerda en el sentido longitudinal, y A siendo la sección de la cuerda.

Para cuerdas de metal podemos recurrir a los valores de módulo de elasticiad publicados (para el acero usado en cuerdas es aproximadamente 200 Gpa).

Lamentablemente el asunto es más complicado para cuerdas de nailon, porque al estirar (afinar) la cuerda el módulo de elasticidad cambia (aumenta) considerablemente. No queda otra cosa que calcularlo basándose en mediciones que tenemos que hacer nosotros.*)

Pero, por simplificar las cosas vamos a mirar en seguida una cuerda (no entorchada) de metal.

Entonces sigo con la explicación del modelo que permite saber qué fuerzas actúan en las terminaciones de la cuerda pulsada:

La elongación de cuerda se calcula usando el teorema de Pitágoras:

[FONT=Times New Roman, serif]Δ[/FONT]L = 2 ((L/2)^2 + y^2)^0.5 - L​


Conociendo la longitud de la cuerda y el desplazamiento de pulsación y podemos calcular el ángulo [FONT=Times New Roman, serif]α[/FONT] con la función arctan (función inversa del tangens): [/FONT]

[FONT=Times New Roman, serif]α[/FONT] = arctan ( y / (L/2))​


Entonces, en el ejemplo de un tiro de 650 mm y un desplazamiento de pulsación de 3 mm obtenemos [FONT=Times New Roman, serif]α[/FONT] = arctan (3 / 325) = 0.5289° (digamos 0.53°).

Con eso ya se puede calcular las fuerzas Fy y Fx .


Ahora, sabiendo que el ángulo [FONT=Times New Roman, serif]α[/FONT] queda constante hasta que la cuerda está recta, y que luego cambia a -[FONT=Times New Roman, serif]α[/FONT], podemos decir que la fuerza Fy es constante y cambia de dirección cada medio ciclo o periodo P (en 0.25 P y en 0.75 P). Con otras palabras, la magnitud de la diferencia de fuerza en dirección perpendicular es

[FONT=Times New Roman, serif]Δ[/FONT]Fy = 2Fy


Para nuestras aproximaciones podemos ignorar la componente perpendicular (en dirección y de [FONT=Times New Roman, serif]Δ[/FONT]T que es aproximadamente 1% de la tensión inicial Ti ([FONT=Times New Roman, serif] Δ[/FONT]T ~ Ti / 100), ΔTy llegando a ser ΔT sin[FONT=Times New Roman, serif]α[/FONT] = ΔT * 0.00923 (para una magnitud de pulsación de 3mm), y podemos concluir que la periodicidad de la fuerza Fy se puede representar con el siguiente gráfico:

Imagen 7
attachment.php

(Si incluiríamos el cambio de tensión en el gráfico, cada línea horizontal tendría un "techito" con una altura máxima de Tiy / 100).

En cambio, como solamente los cambios de tensión pueden producir vibraciones tenemos que mirar la diferencia de fuerza longitudinal que es la diferencia entre Fx y la tensión de la cuerda en reposo Ti

[FONT=Times New Roman, serif]Δ[/FONT]Fx = Fx - Ti

y podemos representar su periodicidad con el siguiente gráfico donde vemos que la frecuencia es dos veces la de esta de las diferencias de fuerza perpendicular:

Imagen 8
attachment.php


*)
El procedimiento para calcular el módulo de elasticidad de una cuerda consiste en medir su tensión y frecuencia fundamental, luego pisar la cuerda en su centro exacto, pulsarla y medir también esta frecuencia (que será un poco más del doble por haber incrementado la tensión, y por supuesto hay que medir el desplazamiento perpendicular a la cuerda en el lugar donde la pisamos. Con esas mediciones, y usando la fórmula de Mersenne para calcular la frecuencia de una cuerda f = (1/2L) * (T/[FONT=Times New Roman, serif]μ[/FONT])^0.5 y el teorema de Pitágoras c^2 = a^2 + b^2 se puede calcular E, o también directamente la constante K.


(Continuará)
 

Archivos adjuntos

  • 3a-s.jpg
    3a-s.jpg
    28,1 KB · Visitas: 228
  • 3b-s.jpg
    3b-s.jpg
    15,9 KB · Visitas: 229
  • 3c-s.jpg
    3c-s.jpg
    17,5 KB · Visitas: 228
Con este modelo simplificado de cuerda ideal pulsada en su centro, y considerando solamente la oscilación de su modo de vibración fundamental (sin armónicos) hemos podido analizar cómo, y en qué dirección actúan fuerzas debidas a la vibración, y además ya podemos calcular la magnitud de estas fuerzas, y con eso ver en qué proporción está aproximadamente la fuerza perpendicular Fy con la fuerza longitudinal Fx, la segunda siendo la responsable para los movimientos de cabeceo del puente.

Con el cálculo vamos por partes:

Por motivo de simplificar el asunto asumimos una cuerda de metál con
módulo de elasticidad E = 200 Gpa,
digamos una 1era cuerda marca d'Addario de un
grosor de 0.010" (= 0.254 mm)
que, según la tabla de datos técnicos de las cuerdas de esta empresa, tiene una
tensión de 16.2 lb (= 72.06 N).
Las tensiones de cuerda publicadas en esta tabla se ha medido con un
tiro de cuerda de 25.5", lo que equivale a 647.7 mm,
entonces conviene usar este tiro también para nuestro cálculo.

Además asumimos una magnitud de pulsación de y = 3 mm
que sea perpendicular a la cuerda (y tapa armónica).

Eso ya son todos los datos que necesitamos para calcular la fuerza longitudinal Fx, a la fuerza perpendicular Fy que ejerce la cuerda en la selleta del puente.
Por conveniencia usamos solamente unidades SI, es decir que expresamos los milímetros en metros.


[FONT=Times New Roman, serif]α[/FONT] = arctan (y / (L/2)) = arctan (0.003 / 0.32385) = 0.5307° (~ 0.53°)

ΔL = 2 ( (L/2)^2 + y^2) )^0.5 - L = 2 * 0.3238639 - 0.6477 = 0.00002779

K = E * A / L = (200 * (0.000254 / 2)^2 [FONT=Times New Roman, serif]π[/FONT]) / 0.6477 = 15646.36

ΔT = K * ΔL = 15646.36 * 0.00002779 = 0.4348

T = Ti + ΔT = 72.4948

Fy = T * sin [FONT=Times New Roman, serif]α[/FONT] = 72.4948 * 0.009263 = 0.6715

Fx = T * cos [FONT=Times New Roman, serif]α[/FONT] = 72.4948 * 0.999957 = 72.4917

ΔFy = 2 * Fy = 2 * 0.6715 = 1.3430

ΔFx = Fx - Ti = 72.4917 - 72.06 = 0.4317


Entonces, pulsando nuestra cuerda ideal en el centro tiene como efecto que la fuerza que ejerce en la selleta y perpendicularmente a la tapa es aproximadamente 3 veces más grande que la fuerza longitudinal que causa un momento de torsión en el puente.
Si repetimos el cálculo para una pulsación más suave, bajando el desplazamiento y a 2 mm podemos ver que ahora Fy sería 4.65 veces más grande que Fx , y con y=1mm Fy ya sería más de nueve veces más grande que Fx.

Para los curiosos entre vosotros adjunto una tabla Excel que permite hacer este tipo de cálculo en pocos segundos, lo que permite variar algunos parámetros y ver qué efecto tendrían esos cambios.

No hay que olvidarse de que se trata de un modelo simplificado, y los resultados solamente pueden dar una idea de lo que realmente está pasando

En seguida nos vamos a acercar un poco más a la situación real de una cuerda pulsada en una guitarra, y trataré de explicar en rasgos gruesos las características del modelo que ha usado Trevor Gore para sus cálculos (esta vez no entraré mucho a detalles matemáticos).


(Continuará)
 

Archivos adjuntos

Cuando miramos una cuerda vibrante después de haberla pulsado no la veremos deformada en forma de triángulo con puntas agudas sin más bien en curvas suaves:

Imagen 9

attachment.php


Entonces, ¿qué exactamente está causando la diferencia entre el comportamiento de una cuerda real y una cuerda ideal? Simplificando se puede decir que es la fricción interna de la cuerda, o con otras palabras el amortiguamiento propio de la cuerda.

Me permito divagar un poco: cuantificando hasta cierto grado en detalle las consecuencias de la fricción interna de la cuerda podemos arrojar un poco más luz sobre la naturaleza del transiente inicial que Julio Gimeno ha mencionado aquí.

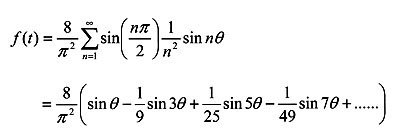
El matemático Jean Baptiste Fourier (1768-1830) ha descrito cómo se puede componer o describir una onda de vibración con otras ondas de vibración. De esta manera se puede componer una onda de forma triangular sumando todos los armónicos imparos, alternando los valores consecutivos siempre entre positivo y negativo.

En el siguiente gráfico están representados:
en negro la onda del fundamental (= 1er armónico)
en violeta la suma fundamental + el valor negativo del 3er armónico
en azul la suma fundamental + el valor negativo del 3er armónico + 5to armónico
en amarillo la suma fundamental + el valor negativo del 3er armónico + 5to armónico + el valor negativo del séptimo armónico

Imagen 10

attachment.php


La fórmula matemática de esta serie Fourier que describe una onda triangular es la siguiente:

Imagen 11

attachment.php


donde f(t) es la función en el tiempo, n = el número del armónico, y [FONT=Times New Roman, serif]ϴ[/FONT] "la posición dentro de un periodo de vibración" (en este contexto se suele expresar un periodo o ciclo entero como 2[FONT=Times New Roman, serif]π[/FONT] que equivale a 360°).

Si ahora miramos la forma de vibración de una cuerda real pulsada en su centro (de la imagen 9) vemos que se trata efectivamente de medio ciclo de una onda triangular a cual le faltan los armónicos de orden mayor, es decir que se trata aproximadamente de media onda sinusoidal.

Mirando la serie Fourier para la onda triangular en la imagen 10 y en la fórmula de la imagen 11, vemos que los armónicos de orden mayor solamente representan una pequeña fracción de la magnitud de la onda del fundamental. Debido a la rigidez de flexión de cuerdas verdaderas, éstas están atenuados de manera significante porque simplemente no se dejan flexionar tanto. Por ejemplo, el armónico n° 20 es aproximadamente 50dB más debil que el fundamental, lo que significa que su amplitud es aproximadamente 1/100000 (la cien milésima parte) de aquella del fundamental. Debido a la fricción interna, y por el hecho que la cuerda transmite ("pierde") su energía a la tapa armónica, esos armónicos mayores con su pequeña amplitud están rápidamente atenuados, dejando después de unas cuantas oscilaciones casi nada significante que el fundamental, que es exactamente lo que vemos cuando observamos una cuerda verdadera. Se puede expresar el tiempo en cual se "agotan" los armónicos como una función de la oscilación P (periodo, ciclo), y el número de ciclos n. Para cuerdas de nailon este tiempo Pn es aproximadamente 0.2 segundos, y es este tiempo corto con armónicos mayores todavía no atenuados, que se define como transiente inicial.

(Continuará)
 

Archivos adjuntos

  • Onda_de_triangulo_compuesta.jpg
    Onda_de_triangulo_compuesta.jpg
    42,4 KB · Visitas: 209
  • Fourier_onda_triangular.jpg
    Fourier_onda_triangular.jpg
    20,8 KB · Visitas: 209
  • Vibracion_cuerda_real.jpg
    Vibracion_cuerda_real.jpg
    20,8 KB · Visitas: 211
Todavía nos falta mirar los efectos de pulsar una cuerda en otro sitio que en su centro. Para este análisis se necesita de un poco de matemática no muy sencilla, pero tampoco muy nueva.

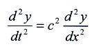
Para ver lo que pasa exactamente hay que resolver la ecuación para ondas unidimensionales que ha desarrollado el matemático Jean le Rond d'Alembert (1717 - 1783):

Imagen 12
dAlembert.jpg

:arrow: Si aquí la matemática ya se vuelve algo demasiado complicada puedes saltar a la imagen 16 donde los gráficos representan los resultados que dan estas fórmulas.​

Traducida a palabras esta ecuación dice (desde la derecha hacia la izquierda) que la cantidad de cambio con x (d/dx) de la inclinación de la cuerda (dy/dx) es proporcional a la aceleración de la cuerda en dirección y (es decir d/dt de la velocidad, dy/dt). La constante de proporcionalidad que nos permite a equivaler el lado derecho con el lado izquierdo se escribe como c²

c² = T / [FONT=Times New Roman, serif]μ[/FONT]​

donde T es la tensión, y [FONT=Times New Roman, serif]μ[/FONT] es la densidad lineal (masa / unidad de longitud).

Entonces, esta fórmula relaciona el desplazamiendo y a una distancia x en la cuerda (de longitud L) en cualquier tiempo t .

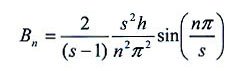
En nuestro caso es conveniente usar una forma de de solucionar la ecuación para ondas que debemos a Daniel Bernoulli (1700 - 1782):

Imagen 13
attachment.php


La parte An describe las condiciones iniciales, y con una velocidad inicial de cero para todos los armónicos ponemos An = 0 para todos los n.

Imagen 14
attachment.php


donde

Imagen 15
attachment.php


1 / s es la distancia del sitio de pulsación de un extremo de la cuerda ( s = 2 sería el centro de la cuerda), y h es el desplazamiento inicial cuando se pulsa la cuerda.

Si se asume una pulsación de una magnitud de 3 mm (0.003 metros), efectuada una distancia del puente de L/s = L/4, y si se elige (arbitrariamente) un número de armónicos n = 20, el gráfico que resulta de este cálculo es lo siguiente:

Imagen 16
4s.jpg
Click en la imagen para agrandar

Para el trabajo analítico cuantitativo de Trevor Gore era importante de no solamente tantear algunas las etapas de oscilación de un ciclo sino también obtener valores exactos de una mejor resolución a través de los las fórmulas que hasta aquí he intentado a explicar en sus rasgos gruesos.

Para seguir, nosotros ahora podemos dejar la matemática por un momento al lado y concentrarnos en una breve descripción de los últimos pasos del análisis cuantitativo de las fuerzas Fx y Fy, que se compone de métodos (aunque con algunas variaciones) que ya he descrito anteriormente en este hilo.

(Continuará)
 

Archivos adjuntos

  • D_Bernoulli-1.jpg
    D_Bernoulli-1.jpg
    21,8 KB · Visitas: 209
  • D_Bernoulli_Bn.jpg
    D_Bernoulli_Bn.jpg
    19,4 KB · Visitas: 207
  • D_Bernoulli-2.jpg
    D_Bernoulli-2.jpg
    19,3 KB · Visitas: 210
Entonces, habiendo determinado la forma exacta de la cuerda en cualquier momento de vibración (como la vemos representada en las 11 "tomas" en la imagen 16), empleando los mismos métodos que ya lo hemos usado para hacer los cálculos de la cuerda pulsada en el centro (ver explicaciones que siguen a la imagen 6), se puede ahora calcular el ángulo [FONT=Times New Roman, serif]α[/FONT] y la longitud actual de la cuerda en cada uno de estos estados. Restando la longitud inicial L de la cuerda se calcula ΔL, ΔT, y con eso las fuerzas Fx y Fy con cuales la cuerda actúa en el puente.

En el siguiente ejemplo de cálculos presentados en el libro Contemporary Guitar - Design and Build Trevor Gore se está basando en una cuerda de acero de un diámetro (grosor) de 0.012" (1era cuerda afinada en mi), una magnitud de pulsación de 3 mm, situación de pulsación L/4, y para dos ciclos de oscilación con n=20 armónicos.

Esto es el gráfico de sus resultados para la fuerza transversal Fy (perpendicular a la tapa):

Imagen 17

attachment.php


Podemos observar las similitudes con el modelo de la cuerda ideal pulsada en el centro (imagen 7), y con la ayuda de los 11 gráficos de la imagen 16 nos podemos explicar las diferencias grandes, mientras que la "ondulación" en las partes horizontales de la curva es debida a los armónicos que se manifiestan.

La magnitud de la diferencia de fuerza transversal ΔFy es la diferencia máxima entre los picos que aquí equivale a unos aproximadamente 3 N (~ 0.3 kg de fuerza).


Lo siguiente es el gráfico de los resultados para la fuerza longitudinal Fx (en dirección de la cuerda en reposo):

Imagen 18

attachment.php


También este gráfico nos parece familiar, y de nuevo nos podemos explicar las diferencias si estudiamos el gráfico junto a estos en la imagen 16.

La magnitud de la diferencia de fuerza longitudinal ΔFy es aproximadamente 0.5 N (~ 50 gramos de fuerza).

Si además miramos la relación entre ΔFx y ΔFy podemos observar que ΔFy / ΔFx = 3 / 0.5 = 6, entonces en rasgos gruesos bastante parecido con los resultados del primer modelo simplificado que he presentado en este mensaje aquí; ΔFy es claramente más grande que ΔFx .

El siguiente gráfico enseña los resultados de Gore para las seis cuerdas de metal de un juego de la marca Martin, para una amplitud de pulsación entre 1mm hasta 6mm:

Imagen 19


attachment.php



En el próximo gráfico de los resultados para las seis cuerdas para guitarra clásica de un juego de la marca Savarez podemos apreciar que la diferencia relativa entre ΔFx y ΔFy (ΔFy / ΔFx) es todavía más grande que con cuerdas de metal:

Imagen 20

attachment.php



Hasta aquí era todo teoría, pero como he mencionado en el inicio, Alan Carruth ha medido la magnitud de estas diferencias de fuerza ΔFx y ΔFy mediante un dispositivo en cual ha usado pequeñas piezas de material piezo cerámico para medir los cambios de fuerza en dirección transversal como también longitudinal. Lo interesante (aunque no del todo sorprendente) es, que resultados de los cálculos de Gore son muy similares a los resultados de medición de Carruth.

:arrow: Aquí se puede bajar gratuitamente el artículo String Theory en cual Carruth presenta su trabajo llevado a cabo con su dispositivo de medición, los métodos aplicados y por supuesto también los resultados.

Queda todavía a aclarar cómo y cuánto los efectos de las diferencias de fuerza longitudinal ΔFx y perpendicular ΔFy se manifiestan en la producción de sonido.

(Continuará)
 

Archivos adjuntos

  • Metal-2014_P7700_1811.jpg
    Metal-2014_P7700_1811.jpg
    49,4 KB · Visitas: 205
  • Fuerza_Longitudinal.jpg
    Fuerza_Longitudinal.jpg
    45,9 KB · Visitas: 204
  • Nylon-2014_P7700_1810.jpg
    Nylon-2014_P7700_1810.jpg
    41,8 KB · Visitas: 204
  • Fuerza_Transversal.jpg
    Fuerza_Transversal.jpg
    43,7 KB · Visitas: 205
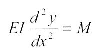
En este hilo, en intervenciones anteriores a la mía, se ha mencionado varias veces que la fuerza longitudinal, respectivamente las diferencias de fuerza en esta dirección se podría representar o expresar con varios vectores en otras direcciones porque sumándolos resultan en el vector de la fuerza observada. Pero este tipo de análisis queda corto para nuestro propósito de poner en relación los efectos de las fuerzas ΔFx y ΔFy en la tapa armónica. Lo que tenemos que analizar es el momento de torsión causado por la fuerza ΔFx que actúa en el punto más alto de la selleta del puente.

En el modelo matemático podemos tratar el puente como una sola pieza rígida (comparando con la flexibilidad de la tapa armónica). Como el momento de torsión que vamos a analizar se encuentra en dos dimensiones podemos reducir la tapa armónica a una viga que tiene la misma rigidez longitudinal como la tapa con varetaje.

Entonces, la situación es la que vemos en la siguiente imagen:

Imagen 21

attachment.php


El momento de torsión M que actúa en la tapa en la posición del puente equivale al producto de la fuerza longitudinal ΔFx multiplicado con la altura de la cuerda sobre la tapa armónica (altura de la selleta).

La selleta está a una distancia s de la barra armónica inferior (que en este modelo asumimos como soporte "rígido"), y la longitud de la tapa armónica describimos como l = distancia entre culata y primer soporte rígido x = 0, (que en la guitarra clásica es la barra armónica inferior). En la guitarra clásica la posición de la selleta está más o menos en el centro s = l/2. El gráfico representa una guitarra con "varetaje X" donde el primer soporte rígido es una barra transversal en el lado superior de la boca y por eso, aquí el puente (la selleta) está ubicado a la derecha del centro, hacia la culata.

La rigidez de flexión de la tapa armónica terminada (es decir incluyendo el varetaje) y representado en nuestro modelo como viga, es El para la zona superior. Para expresar la diferencia de rigidez de flexión en la zona entre selleta y culata con esta en la parte entre selleta y barra armónica se ha introducido un factor [FONT=Times New Roman, serif]α[/FONT. Para guitarras clásicas la rigidez en ambos lados de la selleta es aproximadamente la misma, entonces [FONT=Times New Roman, serif]α[/FONT] = 1, mientras que el varetaje X en las guitarras acústicas hace que la tapa en la parte superior es mucho más rígida, motivo por cual Gore ha averiguado y usado un factor [FONT=Times New Roman, serif]α[/FONT] = 0.3 para la zona entre selleta y culata.

Para un equilibrio en el sentido vertical las fuerzas de reacción en los extremos de la viga son R = M / l.

El momento de torsión tiene su máximo debajo la selleta, lo que sugiere que la rigidez del varetaje debería ser concentrada debajo el puente.

La ecuación estándar para el momento y flexión dice:

Imagen 22
f1.jpg

y permite el desarrollo de una fórmula para calcular la magnitud de flexión y en cualquier lugar x en su longitud l.

Los que quieren, pueden ver y estudiar este desarrollo que incluyo aquí como imagen (haz click en ella para agrandar al 100% para verlo bien, o aún mejor te la bajas y la imprimes). El estudio y la comprensión de estas fórmulas es obligatorio para todos aquellos que todavía no creen que la tapa armónica no trabaja en primer lugar "a tracción".

Imagen 23

Calcular_flexion_desde_momento_de_torsion.jpg

Trevor Gore ha asumido una guitarra con cuerdas de metal y varetaje X para usar en el modelo matemático para calcular la deflexión debida al cambio de momento de torsión inducido por ΔFx. Las ecuaciones (12) y (13) en la imagen 23 le dan una deflexión máxima de 2.7 [FONT=Times New Roman, serif]μ[/FONT]m para la pulsación de una sola cuerda.

Por otro lado, calculando la defleción perpendicular bajo la carga estática de ΔFy = 4N (ver imagen 19) se obtiene como resultado 0.078 mm (78 [FONT=Times New Roman, serif]μ[/FONT]m), que es algo com 29 veces más y que se puede expresar como una diferencia de ~ 15 dB.

Dice Trevor Gore que se puede especular que el efecto de la duplicación de frecuencia del cambio de tensión ΔFx en los armónicos mayores de las cuerdas agudas podría dar frecuencias en el rango de 3-5 kHz, justamente en la zona sensible del oído humano, y que entonces una tapa armónica que facilitan a los modos de vibración longitudinales ser activos puede contribuir de manera significante a la sensación de volumen alto en el transiente inicial, lo que considera como importante para guitarras clásicas.

Con eso concluyo este pequeño maratón en el mundo de la física y matemática y espero que también aquellos interesados que no han seguido a todos los pasos del análisis matemático han podido entender en rasgos gruesos cómo actúa la cuerda vibrante en el puente y la tapa armónica.
 

Archivos adjuntos

  • Esquema_momento_de_torsion.jpg
    Esquema_momento_de_torsion.jpg
    29 KB · Visitas: 204
Creo que en el año 2006 ya se suscitó el tema del peso del puente en este foro (lo recuerdo porque era poco antes de ingresar yo en el mismo), y que entonces tanto D. Rafael López como Roberto Tomasi le quitaron importancia a dicho detalle al no haber nada publicado sobre ello, por lo que lo consideraban una curiosidad más dentro de los detalles de la guitarra. [...]

Roberto Tomasi y Rafael no le han quitado importancia al asunto sino han dicho lo siguiente:

SHALOM dijo:
No sé qué tanto influya el peso del puente en la vibración de la tapa, cuál sería su peso ideal.
el grande friederich hace puentes de 22 gramos ...........me recuerdo de las respuestas de mis maestros de acupunctura a este estilo de preguntas sin sentido.....
" si te gustan las recetas...."

Hola Shalom. En nigún tratado, de los que yo he visto, se habla del peso ideal del puente, por lo tanto es un asunto que parece que está aún por estudiar. Sin embargo, si observamos los puentes de las guitarras de los últimos 100 años, o más, vemos que todos siguen una pauta común, habiendo muy pocas diferencias entre ellos. Así que podemos concluir que el diseño actual debe de acercarse mucho a ese ideal que tú pretendes.
 
Hola a todos. Me interesa mucho el tema que personas con los conocimiento sobre el mismo como son ustedes estan tratando y me tomo el atrevimiento de dar mi humilde idea sobre el mismo. Si bien mi experiencia como guitarrero se limita a una sola guitarra, siempre me han gustado las cuestiones mecanicas para las cuales tengo cierta facilidad. Mis estudios de matematicas se limitan a cuatro anos de ingenieria en Comunicaciones y, si bien no comprendo todo lo expuesto por en el analisis matematico hecho por el Administrador, algo entiendo. Mis conocimientos de Analisis Matematicos los olvide hace tiempo por falta de uso pero aun recuerdo algo de analisis vectoriales sencillos. Estoy muy de acuerdo en que el movimiento de torsion del puente es fundamental para la trasmision de sonido de la cuerda hacia la tapa armonica. Tambien considero que la fuerza de traccion de la cuerda que se ejerce paralela a la tapa armonica es la responsable indirectamente del sonido de la guitarra. Creo que el puente es un elemento intermedio en esta cadena de acontecimientos y esta a su cargo convertir la fuerza de traccion de la cuerda en fuerza de empuje sobre la tapa para generar sonido. Tambien considero que el sonido caracteristico he insuperable de la guitarra espanola se debe a este movimiento de torsion. Yo he tocado y escuchado algunas guitarras con cordal y el sonido no es el mismo que el de una guitarra con puente tradicional. Lo encuentro falto de armonicos, que dan el timbre y la expresion a la guitarra espanola. En la guitarra con cordal la fuerza de traccion se convierte en una fuerza en sentido vertical que mueve de arriba hacia abajo la tapa armonica. Esto hace vibrar la tapa armonica completa (en sentido longitudinal) desde la boca hacia la culata. Estas guitarras tiene un sonido fuerte, pero falto de expresion. Cuando usamos un puente pegado a la tapa armonica, sea del tipo que sea, la cosa es diferente, solamente podemos obtener sonido debido al movimiento de torsion del mismo. Si bien no vemos este movimiento, el mismo existe, aunque sea micrometicamente y esta fuerzas estan presentes y existe un centro para este movimiento de torsion. Este centro, creo yo que debe estar, aproximadamente, en el centro longitudinal de puente y no debajo de la selleta. Como el puente es pegado, su parte delantera experimenta una fuerza hacia abajo, y su parte trasera hacia arriba (como si golperamos la parte delantera hacia abajo y la parte trasera, desde el interior de la guitarra, hacia arriba al unisono) Esto debe provocar una division de la tapa armonica en dos partes, la parte delantera del puente tiende a moverse hacia abajo, y la parte trasera hacia arriba. Creo que esta situacion, y estoy hablando instuitivamente, debe generar algunas caracteristicas tonales propias de la guitarra espanola. O sea, en la guitarra con cordal, al pulsar una cuerda, vibra al unisono la tapa entera (de la boca a la culata) y en la tapa con puente pegado esta vibracion se divide en dos, generando, segun pienso, mas contenido armonico en la tapa. Debido a la torsion del puente, y que este movimiento de torcion tiene un centro, creo que debe incluirse una pequena barra a lo largo del puente (a manera de balancin) que no limite el movimiento de torsion del mismo. Esta pequena barra ( alta y estrecha) debe estar situada aproximadamente debajo del centro longitudinal del mismo, y no debajo de la selleta. Si ponemos esta pequena barra debajo de la selleta tendriamos algo parecido a una guitarra Bouchet. Opino que debajo del borde delantero del puente seria bueno poner un pequeno refuerzo para evitar el quiebre de la tapa armonica. Bueno, creo que si no llevamos a la practica algunas ideas que la intuicion y la logica nos indiquen no vamos a progresar mucho. Ahora yo estoy haciendo una guitarra tratando de seguir estas ideas que se me han ocurrido y cuando pueda voy a poner algunas fotos de la tapa armonica que ha de llevar esta guitarra. Es posible que haya hecho algunos analisis no correctos debido a mi falta de experiencia y les agradeceria sobremanera que me lo hicieran saber. Tambien tengo otras consideraciones respecto al angulo de la selleta, pero esto se puede ver en otro momento. Gracias a todos y les ruego que disculpen mi intromision
 
Hola charangohabsburg:
Ante todo mis felicitaciones por la amplitud y profundidad de conocimientos demostrada en el tema que nos ocupa.
He tratado de seguir los desarrollos matemáticos, hasta donde mis limitaciones lo han hecho posible, y no tengo nada que objetar. Estoy seguro que son impecables.
Tengo, sin embargo, algún comentario sobre el planteamiento inicial y acercamiento al fenómeno real, que son para mi, de mayor interés.
Afectan a la formulación e interpretación de los resultados finales, por lo que me atrevo a someterlos a tu consideración, abusando de tu tiempo y atención.
Se refieren básicamente a la fuerza transversal Fy y sus incrementos. Me explico:
Salvo en el planteamiento inicial, puramente teórico y abstracto, en los siguientes supuestos de define a Fy como una fuerza perpendicular a la cuerda y perpendicular a la tapa. Eso es lo que tengo interpretado después de las sucesivas lecturas que he realizado.
Creo que sería mas ajustado definir a Fy (según la dirección del desplazamiento) en un plano aleatorio que pase por la cuerda y forme un cierto ángulo con el plano perpendicular a la tapa.
En realidad la manera mas clásica de expresar esto sería:
Desde el principio, añadir el eje Z que falta, y redefinir a Fy como Fyz sobre el plano
YZ y formando un cierto ángulo con uno de lo ejes Y ó Z.
Pero continuando con la nomenclatura hasta ahora empleada, tendríamos:

Una componente de Fy (y su incremento) paralela a la tapa que trataría de realizar desplazamientos laterales sobre el puente. No produciría sonido y sería absorbida en rozamientos, fuerzas intermoleculares, etc.

Una componente de Fy (y su incremento) perpendicular a la tapa que si contribuiría al movimiento de esta y por tanto al sonido.

La consideración de lo que antecede, tendría en mi opinión, y entre otras, las consecuencias siguientes.

Revelar desde su origen, la naturaleza real del fenómeno, que es tridimensional y no bidimensional.

Poner de relieve la magnitud de Fx (independiente de la dirección de desplazamiento por definición), frente a la componente perpendicular de Fy que tendería a cero para desplazamientos muy próximos a plano paralelo a la tapa.

Tal y como pienso que ocurre en la gran mayoría de los casos.
Un saludo.
 
[...] En la guitarra con cordal la fuerza de traccion se convierte en una fuerza en sentido vertical que mueve de arriba hacia abajo la tapa armonica. Esto hace vibrar la tapa armonica completa (en sentido longitudinal) desde la boca hacia la culata. Estas guitarras tiene un sonido fuerte, pero falto de expresion. Cuando usamos un puente pegado a la tapa armonica, sea del tipo que sea, la cosa es diferente, solamente podemos obtener sonido debido al movimiento de torsion del mismo. [...]

Queridos amigos,

Como he señalado en otras intervenciones, mi enfoque de este problema es distinto al de jose pena. Para mí, la tapa es el lago y el puente la barca flotando en el lago. Una vez que el agua del lago se pone en movimiento, es ella la que hace cabecear a la barca y no al revés.

La tapa de la guitarra tiene una forma, y está sujeta de un modo, que es similar en todas las guitarras e instrumentos afines. Las leyes de la física harán que la tapa vibre de una manera que depende de esas características. Esa vibración puede descomponerse en modos de vibración. El puente de la guitarra está pegado a la tapa y vibra de forma solidaria con ella. Unos modos harán oscilar la tapa arriba y abajo en la zona del puente, desplazando el puente arriba y abajo. Otros modos hacen oscilar la tapa de manera antisimétrica a la derecha y a la izquierda del puente, y otros la harán oscilar arriba y abajo en la zona del puente a la boca y, antisimétricamente, del puente a la culata, con lo que el puente hará un movimiento de cabeceo.

dynamics4.gif

Cualquier cosa que sujetemos a la tapa (sea el puente habitual, el puente con cordal o una vareta, por ejemplo), experimentará esos tres tipos de movimiento que vemos arriba en el dibujo de Somogyi. Esto ocurre así porque no podemos cambiar las leyes físicas que hacen oscilar la tapa de la guitarra de una forma determinada. Como mucho, podemos variar -con bastantes limitaciones- la frecuencia a la que vibra un modo y su amplitud.
 
Hola, senor Jimeno y todos los que esten viendo este tema. Creo que el simil propuesto por usted de el lago moviendo la barca, en mi personal consideracion, tiene algo que no entiendo. La tapa (el lago) solo puede ser movida por el puente (La barca) y el puente solo puede ser movido por las cuerdas. Quisiera que meditara sobre ello. El puente trasmite el movimiento de las cuerdas a la tapa y es entonces cuando esta vibra. Respecto al movimiento del puente, en una guitarra con cordal, el movimiento de cabeceo se reduce al minimo y tiene muy poca importancia. Los puentes con cordal, generalmente tienen muy poca area de apoyo y su leve movimiento de cabeceo genera muy poco sonido. En este tipo de puente los movimientos principales, creo, segun mi logica, son en sentido vertical a la tapa y en sentido longitudinal al puente. Le expongo mis ideas desde el mas profundo respeto hacia sus criterios.
 
Atrás
Arriba